HOME >> 鉄道模型実験室 > DCモータのブレーキ特性 特性の解析 その1

鉄道模型実験室 No.264  DCモータのブレーキ特性 特性の解析 その1

 DCモータのブレーキ制御方法について、実際の実験装置を使って確かめる事にしよう。先回の報告で指摘した「摩擦損失速度係数 λm は無視できない値である」ことを踏まえ、関係式の再整理を実施してDCマグネットモータのブレーキ特性の解析することにした。

 

■ ブレーキ回路の再整理

  .

 DCマグネットモータのブレーキ実験装置の回路は右の図のように簡単な回路である。そしてこの時の関係式については「DCモータのブレーキ制御方法を検討する」(2025/11/22)にて報告したが、この場合は式の簡素化のために、ブラシ部に発生している電圧降下量 Eb と、モータ軸回りの摩擦損失速度係数 λm について、ゼロと見なして省略していた。

 しかし、先回の報告で指摘した「摩擦損失速度係数 λm は無視できない値である」ことを踏まえ、関係式の再整理を実施する。

 まず、モータの発電機能は、回転子に加えるトルク Tm によって電流 i が発生します。その関係はトルク定数 Kt で示されます。また、この時発生する逆起電力 eは、逆起電力定数 Ke回転数 Nm とに関係付けられます。

      

 この逆起電力 e は回路に電気を流す力ですから、回路全体の抵抗値と流れる電流はオームの法則に従います。この時、外部から観察できるのは外部抵抗両端の電圧E ですので、これらの関係は、

       

となります。また、モータ軸に関しては、外部から軸を回転数 Nm で回転させるには軸トルク Tm' が必要となるが、このトルクは、回転子を回すためのトルク Tm に加え、軸の摩擦損失に抗する必要があります。この摩擦抵抗は、今までの実験データより、固定項と速度項にて近似できるます。固定項を軸摩擦トルク Rm として、摩擦損失速度係数λm とすると、

         

で表わすことが出来ます。軸の摩擦損失の影響は、モータを駆動させる場合と発電させる場合の違いに注意しましょう。

    **********************************************

 これらの関係式より、外部から測定可能な変数を使用して未知の変数を求めることにします。

● 電圧と回転数の関係

  .

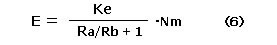
 まず、電圧と回転数の関係を整理しました。上記の式を電圧 E と回転数 Nm の式にまとめると

      

となります。式より電圧 E と回転数 Nm は原点を通る直線の関係なので、これをグラフに示すと右のようになります。そして、外部抵抗 Rb を大きくしていくと勾配は急になって行き、Rb max =∞が限界となります。この時、

と言えるのである。また、外部抵抗 Rb を測定しておけば、その時の勾配値より内部抵抗 Ra を求めることが出来る。

    電圧と回転数のグラフより ⇒ 逆起電力定数 Ke と 内部抵抗 Ra が求まる。

 

● トルクと回転数の関係

  .

 次に、トルクと回転数の関係を整理すると、

   

となる。こ関係を右のグラフに示す。ここで上記と、同じように外部抵抗 Rb を大きくしていくと、今度は勾配が小さくなっていきます。そして、Y切片の値は回転数Nmがゼロですから、Rm 値そのものを示している事になります。

 そして、オープ状態、即ち、Rb max =∞が限界となります。この状態は、電気が流れていませんので、機械的な回転数とトルクの関係となり、それはまぎれもなく、機械的な損失の状態を示しているのです。摩擦損失とは言っても、空気抵抗も含まれているかも知れません。その上、勾配値はλm を示しているのです。

 また、上記のグラフより Raと Ke を求めておけば、オープン状態でない場合の勾配値からもλm やKt も計算することが出来ます。

    トルクと回転数のグラフより ⇒ 軸摩擦トルク Rm と摩擦損失速度係数λm 、およびトルク定数 Kt が求まる。

 

■ まとめ

 ここまで検討して拍子抜けしてしまった。

        こんな簡単な方法で、モータの主要特性が測定出来てしまうのだ。

   **********************************************************************

 以前に検討した「モータ特性の測定とモデル化 モータ定数の推定方法」(2019/5/23)などで苦労して解析した内容とどう違うのだろうか。 その検証が必要であるが、測定作業とデータ処理はかなり容易になったことは確かである。解析精度の問題もあるかも知れない。

 この違いは何だろうかと考えた時、被試験物となるモータの電気回路をオープン状態にしての測定がポイントではないかと推察する。電気回路をオープンにすることで、電気系と機械系を遮断して特性を測定しているのである。この状態は、モータを駆動状態で測定する方法では不可能な方法なのである。だって、モータは電気を流さなければ回らないのだから・・・・・・・・・・・・、当然ですね。

 モータ自身の力で回転させて測定するのか、外からの力でモータを回転させて測定するのか、発想の違いを実感した次第である。

   **********************************************************************

 今回の方法で、実際にどこまで解析できるのか、測定データを使って検討したが、見事に足元が崩れてしまったのである。コギングトルクの他にトルクリップルとかの影響がある事を知りました。モータは面白そうでね・・・・・・・・でも奥が深いです。機械屋の挑戦は続いていますので、次回の報告にご期待を。

 

ページトップへ戻る  .


 2025/12/3